功率放大器基于分布式剪切壓電片選擇激勵中的應用
實驗名稱:功率放大器基于分布式剪切壓電片的結構任意振動純模態的選擇激勵應用
研究方向:振動模態分析
實驗內容:采用剪切型(d15)壓電長條來模擬線剪切力,基于模態對稱性特點,通過合理設計多個d15壓電長條的分布位置、極化方向與電場方向,即可選擇性的激勵出結構的任意振動模態。以矩形截面不銹鋼棒為例,采用不同激勵方式,僅用一對d15壓電長條,完成棒的彎曲、扭轉、縱振動模態的選擇性激勵。
測試目的:驗證方法的可行性,確保目標模態能被選擇性激勵
測試設備:一對剪切型(d15)壓電長條,矩形截面不銹鋼棒,信號發生器,ATA-2021H功率放大器,示波器等。
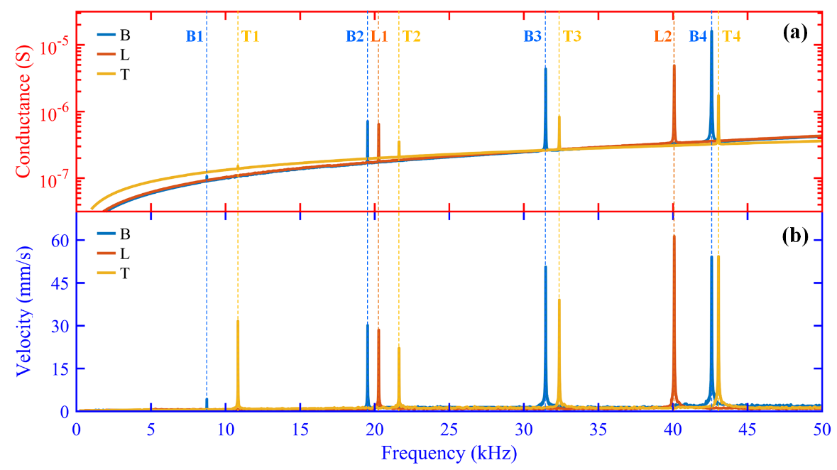
實驗過程:如圖所示,通過函數發生器產生連續正弦電信號,經功率放大器放大后,驅動粘貼于矩形不銹鋼棒上的一對剪切型(d15)壓電條產生連續剪切變形,從而實現分布式的類線剪切力驅動。通過設計壓電條的極化方向、電場方向、布置位置等參數,可以選擇性的激勵出矩形截面棒的彎曲模態、扭轉模態以及縱振動模態。矩形棒的振動頻響譜由多普勒激光測振儀測量,通過示波器進行采集。實驗中的掃頻、激光掃描、采集等過程通過筆記本電腦上編寫的Labview程序自動完成。

實驗結果:三條不同顏色的曲線代表三種激勵方式下,激光測振儀所測得的矩形截面棒的速度響應頻譜。可以看出,在設計的激勵方式下,彎曲(B)、扭轉(T)、縱振動(L)模態能夠被選擇性的激出,且具有相當高的純度,有助于分辨共振頻率接近的模態。

放大器在該實驗中發揮的效能:放大函數發生器的輸入電信號,激勵壓電換能器產生足夠變形
您選擇該放大器的原因:性能穩定。
功率放大器ATA-2021H參數指標:

本文實驗素材由西安安泰電子整理發布,西安安泰電子科技有限公司(Aigtek)是國內專業從事測量儀器研發、生產和銷售的高科技企業。公司致力于功率放大器、高壓放大器、功率信號源、功率放大模塊、計量校準產品等產品為核心的相關行業測試解決方案的研究,為用戶提供具有競爭力的測試方案,Aigtek 已經成為在業界擁有廣泛產品線,且具有相當規模的儀器設備供應商,樣機都支持免費試用。如想了解更多實驗方案,請持續關注安泰電子官網www.qq1e.cn或撥打029-88865020。
原文鏈接:http://www.qq1e.cn/news/771.html


























