功率放大器在磁性微納米顆粒微流體操控研究中的應用
實驗名稱:功率放大器在磁性微納米顆粒微流體操控研究中的應用
實驗內容:設計一套精準的磁場操控平臺,并制備兩種不同類型磁性顆粒;研究了均勻型磁性顆粒在磁場下的成鏈的機理,給出成鏈模型,通過實驗研究了不同因素對成鏈的影響。探索了一種新的流場顯示方法,利用磁性納米鏈對微尺度下氣泡潰滅時的流場進行顯示;還通過氣泡驅動-磁場導航的方式,對非均勻型磁性顆粒進行精準操控,實現了微尺度下微納米磁性顆粒的定向導航運動,并對微尺度下操控磁性顆粒在顆粒加載方面的應用進行了初步實驗研究。

磁場平臺控制系統
實驗設備:高速相機-倒置顯微鏡系統、均勻型微米Fe3O4磁性顆粒,兩臺信號發生器及其自帶的軟件、三維亥姆霍茲線圈、三臺ATA-309放大器等。
實驗過程:設計了微納米顆粒的磁場驅動控制平臺,通過電生磁的方式,由信號源輸出不同的電壓及頻率,經功率放大器進行信號放大,由亥姆霍茲線圈產生均勻磁場,高速CCD-倒置熒光顯微鏡系統觀察記錄磁性顆粒的運動行為。同時介紹了數據處理方法,包括磁性顆粒的運動軌跡及速度分析,及磁性顆粒形成磁鏈后的磁鏈數計算等。
選用的功率放大器作用是將電信號放大,傳遞到線圈產生磁場,主要有以下特點:(1)可以將信號最大放大至30倍,支持單通道輸出;(2)可以方便控制信號的輸入或切斷,并保存上次設置的參數,輸入參數方便;(3)具有散熱及自我保護系統,保證實驗安全。
實驗結果:
(1)頻率對磁鏈的影響;
同一時刻內不同頻率成鏈情況
不同頻率下數密度隨時間的變化
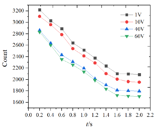
(2)電壓對于磁鏈的影響
同一時間下顆粒在不同電壓下的成鏈情況
各電壓下顆粒隨時間變化的成鏈情況
其他條件相同時,隨著頻率的增大,外部磁場方向的改變會變快,系統的穩定性下降,使得成鏈速度變慢,相對更不易成鏈;隨著電壓的增大,磁感應密度會變大,顆粒與顆粒間作用力會變強,磁鏈更容易形成;另外,隨著顆粒濃度的增加,磁鏈的長度也會邊長,由于顆粒間距離的變小,磁性顆粒更容易吸引到一起。
實驗中用到的ATA-309功率放大器參數指標:
最大輸出電壓90Vp-p(±45Vp),最大輸出電流 18Ap,帶寬(-3dB)高達DC~30KHz,最大輸出功率810Wp,壓擺率≥6V/μs。
本文實驗素材由西安安泰電子整理發布,西安安泰電子科技有限公司(Aigtek)是國內專業從事測量儀器研發、生產和銷售的高科技企業。公司致力于功率放大器、功率信號源、功率放大模塊、計量校準產品等產品為核心的相關行業測試解決方案的研究,為用戶提供具有競爭力的測試方案,Aigtek 已經成為在業界擁有廣泛產品線,且具有相當規模的儀器設備供應商,樣機都支持免費試用。如想了解更多實驗方案,請持續關注安泰電子官網www.qq1e.cn或撥打029-88865020。
本實驗參考自知網論文《磁性微納米顆粒的制備及其在微流體操控應用中的研究》
原文鏈接:http://www.qq1e.cn/news/779.html


























